Skip Navigation
Skip to contents

Ann Occup Environ Med : Annals of Occupational and Environmental Medicine

OPEN ACCESS
SEARCH
Search

Articles

Page Path
HOME > Ann Occup Environ Med > Volume 37; 2025 > Article
Original Article Factors affecting heat-related illness symptoms among school food service workers: a cross-sectional study in Korea
Nahyun Kim1orcid, Dongwhan Suh1orcid, Jia Ryu2orcid, Woo Chul Jeong3orcid, Yun-Keun Lee4orcid, Jinwoo Lee5orcid, Hyunjoo Kim1,*orcid
Annals of Occupational and Environmental Medicine 2025;37:e30.
DOI: https://doi.org/10.35371/aoem.2025.37.e30
Published online: September 2, 2025

1Department of Occupational and Environmental Medicine, Ewha Womans University Mokdong Hospital, Seoul, Korea

2Department of Occupational and Environmental Medicine, Catholic Kwandong University International St. Mary’s Hospital, Incheon, Korea

3Department of Occupational and Environmental Medicine, Ewha Womans University Seoul Hospital, Seoul, Korea

4Wonjin Institute for Occupational and Environmental Health, Seoul, Korea

5Center for Occupational and Environmental Medicine, Hanil General Hospital, Seoul, Korea

*Corresponding author: Hyunjoo Kim Department of Occupational and Environmental Medicine, Ewha Womans University Mokdong Hospital, 1071 Anyangcheon-ro, Yangcheon-gu, Seoul 07985, Korea E-mail: hkim.ewhaoem@gmail.com
• Received: June 24, 2025   • Revised: August 18, 2025   • Accepted: August 19, 2025

© 2025 Korean Society of Occupational & Environmental Medicine

This is an Open Access article distributed under the terms of the Creative Commons Attribution Non-Commercial License (https://creativecommons.org/licenses/by-nc/4.0/) which permits unrestricted non-commercial use, distribution, and reproduction in any medium, provided the original work is properly cited.

  • 1,547 Views
  • 81 Download
prev next
  • Background
    School food service workers are highly likely to develop heat-related illnesses because of their work environment. However, studies that have examined the risk of heat-related illnesses among them are limited. The purpose of this study was to investigate the status of heat exposure, implementation of heat wave countermeasures, and prevalence of heat-related illness symptoms among school food service workers in Korea, and to explore the relationship between them.
  • Methods
    A cross-sectional study was conducted through an online survey of school food service workers from May 25 to June 12, 2023, via three labor unions. We analyzed 6,244 valid responses. We assessed general characteristics, heat-related illness symptoms (heat rash, heat cramps, heat edema, heat exhaustion, heat syncope), duration of heat exposure during heat waves, and heat wave preventive measures. Multiple logistic regression analyses were performed, with adjustments for age, occupation, hypertension, diabetes, and school type.
  • Results
    More than one-third of school food service workers reported heat exposure between May and September exceeding 4 hours daily, and 94.6% experienced at least one heat-related illness symptom during the last year. A dose-response relationship was observed between heat exposure duration and heat-related illness symptoms (p for trend < 0.001). School food service workers who did not have increased rest periods or did not reduce high-heat prepared foods showed significantly higher odds ratios for heat-related illness symptoms.
  • Conclusions
    School food service workers experience substantial heat exposure and a high prevalence of heat-related illness symptoms. The risk of heat-related illness symptoms was associated with extended duration of heat exposure. Increasing rest periods and reducing high-heat food preparation were effective preventive measures. These findings underscore the need for improved heat exposure management and implementation of effective preventive measures to protect the health of school food service workers, with particular attention to appropriate rest periods.
Heat-related illnesses have become an important social concern as the climate crisis has increased extreme weather phenomena such as heat waves. Heat-related illness is an acute condition characterized by symptoms such as headaches, dizziness, muscle cramps, fatigue, and loss of consciousness due to prolonged exposure to hot environments. Symptoms can range from mild conditions, such as heat cramps and heat rash, to potentially life-threatening heat stroke.1
Heatwaves affect workers’ health. Because the human core body temperature increases in proportion to workload and metabolic rate, workers who work in hot and humid conditions are at an increased risk of developing heat-related illnesses.2 According to the 2022 Heat-Related Illness Surveillance Report, 45.3% of heat-related illness cases in Korea occurred in the workplace.3 Furthermore, from 2018 to 2023, there were 147 recorded industrial accidents due to heat-related illnesses, 22 of which were fatal.4 Consequently, there is a growing concern about safety and health in work environments owing to heat waves.
Article 558 of the Occupational Safety and Health Standards Regulations defines “high heat” as temperatures that may cause health impairments such as heat cramps, heat exhaustion, or heat stroke in workers, and Article 559 designates work that requires temperature management as “high heat work.” This classification focuses primarily on manufacturing work involving heat sources such as furnaces, excluding other heat-exposed work environments, such as school food services. To address this, amendments to the Occupational Safety and Health Standards Regulations were enacted in July 2025, defining “heat wave work” as prolonged work in workplaces with an apparent temperature of 31°C or higher and mandating employers to implement preventative measures.5
Food service workers are at risk of heat-related illnesses because of kitchen equipment that generates high temperatures, inadequate ventilation, confined spaces, and high population densities in the workplace. In addition, impermeable work attire, including waterproof aprons, boots, rubber gloves, and inadequate rest schedules, further contribute to the potential heat exposure of food service workers. In South Korea, research has been conducted to measure indoor Wet-Bulb Globe Temperature (WBGT) in the food and accommodation industry.6 Several studies have assessed the degree of heat exposure in kitchens,7-9 the relationship between heat-related symptoms and working conditions among bakery workers,10 the relationship between heat exposure levels, physiological changes, and heat-related symptoms among cooks,11 and heat stress among bakery workers.12 However, studies on the prevalence of heat-related illnesses and preventive measures against heat-related illnesses among food service workers are limited.
The Occupational Safety and Health Manual for School Food Services, published in South Korea in 2021, recommends installing ventilation facilities, adjusting the interval between tasks that generate hot steam, distributing breaks, and installing portable air conditioners to prevent heat-related illnesses among food service workers.13 Article 566 of the Occupational Safety and Health Standards Regulations also requires employers to take measures to prevent heat-related illnesses in workers. However, the extent to which preventive measures have been implemented remains unknown.
The purpose of this study was to examine the status of heat exposure, implementation of heat protection measures, and prevalence of heat-related symptoms among school food service workers and to explore the relationship between heat protection measures and heat-related symptoms. This study aimed to identify effective methods to prevent and manage heat-related symptoms among school foodservice workers and to contribute to policy proposals for protecting school foodservice workers from heat-related symptoms. A Korean translation of this article is available in Supplementary Data 1.
Participants
An online survey was conducted from May 25 to June 12, 2023, through three labor unions involved in school food services, yielding 6,703 responses. After excluding participants with missing or incorrect birth year information (n = 46) and those with less than one year of service (n = 413), 6,244 valid responses were analyzed.
Sex was not separately analyzed; however, previous studies have shown that most school food service workers in Korea are female.14,15
Variables

General characteristics

Data on age, duration of employment in school food services, presence of hypertension, presence of diabetes mellitus, occupation (food service assistant, nutritionist, cook), and type of school (elementary school, middle/high school, or other) were collected. Other schools included kindergartens, daycare centers, and universities.

Heat-related illness symptoms

Based on the major symptoms of heat-related illnesses classified by the Korea Disease Control and Prevention Agency (KDCA),16 the survey investigated whether the participants had experienced the following five heat-related illness symptoms related to heat waves during the last 12 months: heat rash, heat cramps (muscle cramps in calves, thighs, shoulders, or others), heat edema (swelling of hands, feet, or ankles), heat exhaustion (extreme weakness, fatigue, or dizziness), and heat syncope (fainting, temporary loss of consciousness, or dizziness). Multiple selections were allowed as heat-related illnesses can occur simultaneously. Participants were considered to have experienced heat-related illness symptoms if they experienced at least one symptom. Heat stroke was not assessed because it is a potentially fatal condition that occurs infrequently and was therefore considered impractical to assess.

Duration of heat exposure

From May to September, the average duration of exposure to temperatures high enough to cause sweating while working was recorded at the following intervals: less than 30 min, 30 min to 2, 2–4, and >4 hours. This period was determined with reference to the heat wave countermeasure period (May 20 to September 30) administered by the Korean government to prevent damage caused by heat waves.
Although heat stress assessment tools such as the Heat Strain Score Index exist, their extensive item structure was impractical for large-scale surveys and inappropriate for school food service contexts. A novel assessment tool was therefore developed after establishing content validity through an expert review and face validity through evaluation by school food service worker union representatives.

Heat wave preventive measures

Each participant was asked whether the following heatwave preventive measures had been implemented at the schools currently working: installing thermometers in the kitchen to measure temperatures, operating air conditioners in the kitchen, limiting the preparation of high-heat prepared foods to no more than twice per week, reducing hot water disinfection methods, and increasing break times. Identifiable information about the participants’ workplaces was not collected.
Heatwave preventive measures were selected based on the measures for preventing heat-related illness disasters presented in the Occupational Safety and Health Manual for School Food Service13 and the Heat-Related Illness Prevention Guide for Summer Heatwaves issued by the Ministry of Employment and Labor.17
Statistical methods
All statistical analyses were performed using SPSS version 22.0 (IBM Corp., Armonk, NY, USA). Chi-squared tests were used to compare characteristics according to school type for the analyzed variables, with a probability of significance of p < 0.05. Multiple logistic regression analysis was performed to assess the association between heat exposure durations and heatwave preventive measures for heat-related illness symptoms. Odds ratios (ORs) and 95% confidence intervals (CIs) were calculated for heat-related illness symptoms. All analyses were adjusted for age, occupation, hypertension, diabetes mellitus, and school type.
Additional analyses
Other heat-related illness symptoms may result from both heat exposure and work processes, making causation unclear. Heat rash, a skin-specific symptom caused by hot and humid environments, shows more direct association with heat exposure. Therefore, we conducted additional analyses using individual heat-related illness symptoms, including heat rash, as primary outcomes.
Ethics statement
This study was approved by the Institutional Review Board (IRB) of International St. Mary’s Hospital (IS23RIMI0068), Incheon, South Korea. The requirement for informed consent was waived by the IRB due to the use of de-identified secondary data.
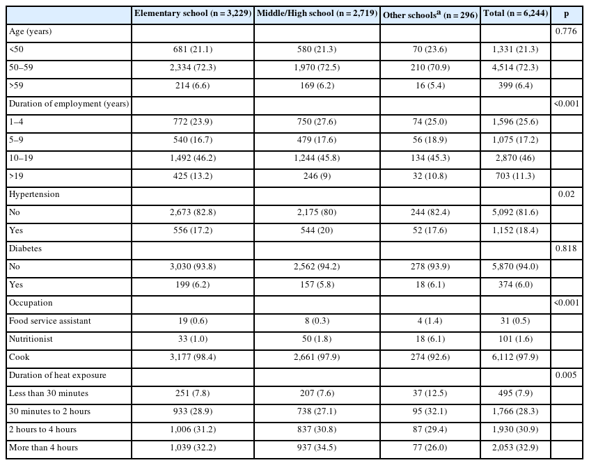
The characteristics of the study population are summarized in Table 1. Among all school food service workers, 72.3% were in their 50s, and 46.0% had worked for 10–19 years, representing the largest proportion. This was similar when analyzed according to school type. Cooking was the most common occupation (98.4%). Exposure to heat for more than 4 hours was the most common among all food service workers (32.9%), with 34.5% of middle/high school workers having longer exposure times than the other school types. Of all school food service workers, 7.7% reported experiencing no heat wave preventive measures, and 94.6% reported experiencing heat-related illness symptoms.
Heat-related illness symptoms by school type are shown in Table 2. Among all food service workers, the reported heat-related illness symptoms were heat exhaustion (67.9%), heat edema (64.1%), heat cramps (61.1%), heat rash (59.1%), and heat syncope (6.8%). Statistically significant differences were observed in the experience of heat-related illness symptoms according to school type, except for heat syncope, with workers at middle/high schools showing a higher proportion of heat-related illness symptoms. The distribution of the number of heat-related illness symptoms experienced by participants is presented in Supplementary Table 1.
Table 3 presents the prevalence of heat wave preventive measures according to school type. Among all school food service workers, 90.6% reported having air-conditioning operating in the kitchen, 25.4% reported having thermometers installed in the kitchen, 7.4% reported using reduced hot water disinfection methods, 6.1% reported limiting the preparation of high-heat prepared foods to no more than twice per week, 3.0% reported increased break times, and 7.7% reported no heat wave preventive measures. The experience of heatwave preventive measures varied by school type, with middle/high schools being less likely than other school types to install thermometers in the kitchen (24.3%), limit the preparation of high-heat prepared foods (4.9%), and reduce hot water disinfection methods (6.3%).
Table 4 illustrates the associations between heat-related illness symptoms, heat exposure duration, and heat wave preventive measures. The OR for experiencing heat-related illness symptoms increased with longer heat exposure durations (p for trend < 0.001). Compared to cases where preventive measures were implemented, the ORs for cases without preventive measures were 1.59 times higher (95% CI: 1.10–2.29) for limiting high-heat prepared side dishes to no more than twice per week, and 1.86 times higher (95% CI: 1.16–2.99) for increasing break times. Although not statistically significant, the ORs for heat-related illness symptoms were higher in cases without preventive measures than in cases with preventive measures such as installing thermometers in the kitchen, operating air conditioners in the kitchen, and reducing hot water disinfection methods.
The additional analyses revealed that the significant factors identified for any heat-related illness symptoms remained consistent when using heat rash as the dependent variable. Similar results were observed with other individual heat-related illness symptoms (Supplementary Table 2).
This study examined the status of exposure to high temperatures, implementation of heat wave protective measures, and experiences of heat-related illness symptoms among school food service workers and analyzed the relationships between these factors. This study found that 32.9% of school food service workers were exposed to high temperatures for more than 4 hours a day, with 94.6% experiencing at least one heat-related illness symptom. Preventive measures were less commonly implemented, and 7.7% of the respondents reported that no preventive measures were taken. The risk of heat-related illness symptoms increased with longer heat exposure durations, and was higher in workplaces without certain preventive measures, particularly without increased rest periods and without limitations on high-heat food preparation.
The study found that more than one-third of school food service workers reported being exposed to high temperatures for more than 4 hours per day, indicating a substantial duration of heat exposure among them. While previous studies investigating the duration of heat exposure in cooking facilities are limited, there has been research on the level of temperature exposure. The food and accommodation industry (cooking) was classified as moderate work with continuous operation in Korea, with WBGT ranging from 26.0 to 29.9°C.6 This was higher than that measured in elementary schools in Japan (24.5–27.4°C)9 or public schools in the United States (25°C).7 A study evaluating the work intensity of school food service workers in Korea found that the average Metabolic Equivalent Task (MET) during work was 3.78 ± 1.06,18 which is equivalent to moderate work intensity and brisk walking.19 The WBGT measured in Korean cooking facilities exceeded the exposure standard of 26.7°C for moderate work, as suggested by the Korea Occupational Safety and Health Agency guidelines for managing high-heat work environments.
The high-temperature exposure standards were based on acclimatized workers wearing summer work clothes. The adjusted WBGT for school food service workers wearing protective equipment such as waterproof aprons, shoes, and gloves is estimated to be 32.0–35.9°C, which exceeds the moderate work standard of 25% work, 75% rest every hour. The duration of heat exposure for school food service workers in this study (more than one-third experienced 4 hours or more) was significantly longer than the standard of 25% working and 75% resting.
It is important to note that when assessing hot environments, the workplace temperature is a representative measure of a single space, which limits the ability to identify associations with health problems at the individual level. This study overcame some of these limitations by identifying exposure durations at the individual level, which allows for a more accurate understanding of its association with health problems. However, it has the limitation of being based on subjective responses, although subjective heat stress measurements have been employed in previous studies20 and enable individual-level exposure assessment.
Objective measurements in school food service workplaces in Korea are limited. Therefore, further research and monitoring of heat stress among school food service workers through objective measurements of their work environments are needed. In addition, measures such as ensuring adequate breaks, improving cooking methods, and strengthening ventilation systems are required to reduce the time spent at high temperatures.
In this study, the prevalence of experiencing at least one heat-related illness symptom between May and September among school foodservice workers was 94.6%. The prevalence of experiencing at least one heat-related illness symptom during work among bakery workers in Lebanon was reported to be 47.2%,10 35% of bakery workers in Egypt experienced heat-related symptoms from August to December,12 and 67.1% of hotel kitchen workers in Ethiopia experienced at least one heat-related illness symptom within 6 months.21 Although differences in survey methodologies limit direct comparisons of the prevalence of these symptoms, it is probable that the prevalence of heat-related illness symptoms among school food service workers in Korea exceeds that observed among similar workers in other countries. This discrepancy may be attributed to several factors. First, school food service facilities in Korea prepare meals in large quantities, which can generate relatively more heat during the cooking process. Second, Korean food service facilities are under pressure to provide large quantities of meals within limited timeframes. This can increase work intensities and reduce rest periods, thereby increasing the risk of heat-related illness symptoms. Third, the intensity of heat exposure in school food services can be increased by the use of waterproof clothing, the operation of multiple cooking equipment, and crowded working environments. The high prevalence of heat-related illness symptoms among school food service workers suggests that they are vulnerable to occupational heat exposure and should be monitored for their experiences of heat-related illness symptoms.
The higher prevalence of heat-related illness symptoms among middle/high school workers may be attributed to lower implementation of preventive measures. Additionally, middle/high schools serve more frequently grilled and stir-fried dishes, necessitating high-heat cooking methods.22
In this study, a dose-response relationship was observed between the duration of heat exposure and the OR of heat-related illness symptoms (p for trend < 0.001). In comparison with heat exposure durations of less than 30 minutes, the likelihood of heat-related illness symptoms increased 5.04-fold (95% CI: 3.58–7.12) for exposures of 2–4 hours and 10.20-fold (95% CI: 6.74–15.43) for exposures exceeding 4 hours. Several studies examined the relationship between high temperature exposure and heat-related illnesses.23-28 However, few epidemiological studies have quantitatively analyzed the risk of heat-related illness symptoms based on heat exposure durations at the individual worker level. This study evaluated the duration of heat exposure experienced by individual workers and examined its association with symptoms of heat-related illnesses. The observed dose-response relationship between heat exposure durations and heat-related illness symptoms indicates that the management of heat exposure durations can serve as a preventive measure against heat-related illnesses and as evidence for establishing future policies to prevent heat-related illnesses among workers.
This study found that a considerable proportion of the participants did not experience heatwave preventive measures, with 7.7% reporting that no preventive measures were taken at all. Among the heat wave preventive measures, the OR of heat-related illness symptoms was significantly higher for those who did not reduce high-heat prepared dishes to no more than twice per week and those without increasing rest compared to those with these measures. Fundamental principles for preventing heat-related illnesses include water (sufficient fluid intake), shade (or ventilation in indoor settings), and rest. This study also confirmed that increased rest periods were significantly associated with a reduction in heat-related illness symptoms, thereby reaffirming the critical role of rest in preventing heat-related illnesses. Workloads and breaks should be adjusted according to the intensity and pace of work to prevent heat-related illnesses among school food service workers.
Certain preventive measures, such as operating air conditioners and installing thermometers, were not associated with a statistically significant reduction in the risk of experiencing heat-related illness symptoms despite their implementation. This finding suggests that a more effective approach should go beyond the mere implementation of preventive actions and instead focus on their practical effectiveness. For instance, air-conditioning systems should not only be turned on but also supplemented with local ventilation systems around heat sources to prevent the accumulation of hot air. In addition, a sufficient cooling capacity should be secured to offset the amount of heat generated. Thermometers should not be installed, but should also be utilized for monitoring temperatures, with measurement results promptly reflected in adjustments to the workplace environment. In the future, there is a need for research on the development and effectiveness of heat-related illness prevention measures that consider the specific characteristics of food-service environments.
This study has several limitations. First, this was a cross-sectional study, which limited the identification of causal relationships. Although the temporal sequence of high-temperature exposure and heat-related illness symptoms could not be identified, it is feasible to estimate a causal relationship. This is because it is difficult to attribute heat-related illness symptoms to causes other than high-temperature environments. Second, a selection bias may have existed during the sampling process. However, it is noteworthy that this study was conducted nationwide with a large sample representing approximately 10% of the total school food service worker population. Third, this study relied on self-reported heat-related illness symptoms, which may be subject to measurement bias and misclassification. To address this, the questionnaire provided clear symptom descriptions based on the KDCA definitions to improve recall accuracy. Nevertheless, as most heat-related illnesses, except heatstroke, are diagnosed based on symptoms, the investigating symptoms experienced remains a meaningful approach for assessing their prevalence. While the development of objective assessment tools for heat-related illnesses is required in the future, investigating experiences of heat-related illness symptoms remains a valuable method in the absence of such tools. Fourth, this study had limitations in measuring occupational heat exposure through subjective responses. Although it is not an objective measure, it is important to note that it captures the perceived subjective heat exposure experiences by workers at the individual level. In the future, objective measurements of temperature and humidity in school food service kitchens will be necessary to assess the occupational heat exposure of food service workers.
Fifth, the evaluation of heatwave preventive measures was based on individual worker reports rather than institutional records, and school-identifying information was not collected, preventing the linkage of responses to specific schools. This may introduce reporting bias, as workers’ perceptions may not fully reflect actual institutional policies. Future research should incorporate both worker perspectives and institutional-level data for a more accurate assessment.
To the best of our knowledge, this is the first Korean epidemiological study to examine the prevalence of high-temperature environments and heat-related illness symptoms, and their association with school food service workers. Previous studies on heat-related illnesses in Korean workers have primarily focused on construction29 and outdoor workers,30 with comparatively less attention paid to workers exposed to high indoor temperatures. This study is significant because it examined heat-related illnesses among school food service workers, a relatively neglected group. Furthermore, this study investigated the previously unknown compliance status of school food service workers with heat-related illness prevention measures. This study also provides insight into the effectiveness of preventive measures that can help establish future heat-related illness prevention policies.
This study found that school food service workers are exposed to substantial heat in their workplaces, with more than one-third reporting heat exposure exceeding 4 h per day. The prevalence of heat-related illness symptoms was remarkably high (94.6 %), and a dose-response relationship was observed between the duration of heat exposure and the risk of heat-related illness symptoms, with longer exposures associated with significantly higher odds of experiencing symptoms.
Our findings confirm the significant role of preventive measures, particularly increasing rest periods and reducing high-heat food preparations, in mitigating heat-related illness symptoms. However, the mere implementation of measures such as installing thermometers or operating air conditioners without considering their practical effectiveness may be insufficient.
These results underscore the need for improved management of heat exposure durations and the implementation of effective preventive measures tailored to the unique characteristics of school food service environments. Future policies should focus on ensuring adequate rest periods, optimizing cooking methods to reduce heat generation, and providing effective cooling systems to protect the health of school food service workers.

CI

confidence interval

KDCA

Korea Disease Control and Prevention Agency

MET

Metabolic Equivalent Task

OR

odds ratio

WBGT

Wet-Bulb Globe Temperature

Competing interests

Jia Ryu, contributing editor of the Annals of Occupational and Environmental Medicine, was not involved in the ed­itorial evaluation or decision to publish this article. All remaining authors have declared no conflicts of interest.

Author contributions

Conceptualization: Kim N, Jeong WC, Kim H. Data curation: Kim N, Kim H. Methodology/formal analysis/validation: Kim N, Suh D. Project administration: Kim HJ. Writing - original draft: Kim N, Kim H. Writing - review & editing: Kim N, Suh D, Ryu J, Jeong WC, Lee YK, Lee J, Kim H.

Acknowledgments

The authors thank the Occupational Health Policy Forum.

Supplementary Data 1.
Factors affecting heat-related illness symptoms among school food service workers: a cross-sectional study in Korea (Korean).
aoem-2025-37-e30_Supplementary-Data-1.pdf
Supplementary Table 1.
The distribution of the number of heat-related illness symptoms.
aoem-2025-37-e30_Supplementary-Table-1.pdf
Supplementary Table 2.
The associations between individual heat-related illness symptoms, duration of heat exposure and heat wave preventive measures.
aoem-2025-37-e30_Supplementary-Table-2.pdf
Table 1.
Characteristics of study population by school type
Elementary school (n = 3,229) Middle/High school (n = 2,719) Other schoolsa (n = 296) Total (n = 6,244) p-value
Age (years) 0.776
 <50 681 (21.1) 580 (21.3) 70 (23.6) 1,331 (21.3)
 50–59 2,334 (72.3) 1,970 (72.5) 210 (70.9) 4,514 (72.3)
 >59 214 (6.6) 169 (6.2) 16 (5.4) 399 (6.4)
Duration of employment (years) <0.001
 1–4 772 (23.9) 750 (27.6) 74 (25.0) 1,596 (25.6)
 5–9 540 (16.7) 479 (17.6) 56 (18.9) 1,075 (17.2)
 10–19 1,492 (46.2) 1,244 (45.8) 134 (45.3) 2,870 (46.0)
 >19 425 (13.2) 246 (9.0) 32 (10.8) 703 (11.3)
Hypertension 0.02
 No 2,673 (82.8) 2,175 (80.0) 244 (82.4) 5,092 (81.6)
 Yes 556 (17.2) 544 (20.0) 52 (17.6) 1,152 (18.4)
Diabetes 0.818
 No 3,030 (93.8) 2,562 (94.2) 278 (93.9) 5,870 (94.0)
 Yes 199 (6.2) 157 (5.8) 18 (6.1) 374 (6.0)
Occupation <0.001
 Food service assistant 19 (0.6) 8 (0.3) 4 (1.4) 31 (0.5)
 Nutritionist 33 (1.0) 50 (1.8) 18 (6.1) 101 (1.6)
 Cook 3,177 (98.4) 2,661 (97.9) 274 (92.6) 6,112 (97.9)
Duration of heat exposure 0.005
 Less than 30 minutes 251 (7.8) 207 (7.6) 37 (12.5) 495 (7.9)
 30 minutes to 2 hours 933 (28.9) 738 (27.1) 95 (32.1) 1,766 (28.3)
 2 hours to 4 hours 1,006 (31.2) 837 (30.8) 87 (29.4) 1,930 (30.9)
 More than 4 hours 1,039 (32.2) 937 (34.5) 77 (26.0) 2,053 (32.9)

Values are presented as number (%).

aOther schools included kindergartens, day care centers, universities, and others.

Table 2.
Prevalence of heat-related illness symptoms by school type
Heat-related illness symptoms Elementary school (n = 3,229) Middle/High school (n = 2,719) Other schoolsa (n = 296) Total (n = 6,244) p-value
No 171 (5.3) 141 (5.2) 26 (8.8) 338 (5.4) 0.031
Yes 3,058 (94.7) 2,578 (94.8) 270 (91.2) 5,906 (94.6)
 Heat rash 1,865 (57.8) 1,661 (61.1) 167 (56.4) 3,693 (59.1) 0.021
 Heat cramps 1,969 (61.0) 1,689 (62.1) 156 (52.7) 3,814 (61.1) 0.007
 Heat edema 2,054 (63.6) 1,782 (65.5) 165 (55.7) 4,001 (64.1) 0.003
 Heat exhaustion 2,187 (67.7) 1,873 (68.9) 180 (60.8) 4,240 (67.9) 0.018
 Heat syncope 224 (6.9) 193 (7.1) 10 (3.4) 427 (6.8) 0.052

Values are presented as number (%).

aOther schools included kindergartens, day care centers, universities, and others.

Table 3.
Heat wave preventive measures by school type
Heat wave preventive measures Elementary school (n = 3,229) Middle/High school (n = 2,719) Other schoolsa (n = 296) Total (n = 6,244) p-value
No 235 (7.3) 229 (8.4) 19 (6.4) 483 (7.7) 0.177
Yes 2,994 (92.7) 2,490 (91.6) 277 (93.6) 5,761 (92.3)
 Installing thermometers 823 (25.5) 662 (24.3) 102 (34.5) 1,587 (25.4) 0.001
 Operating air conditioners 2,945 (91.2) 2,439 (89.7) 272 (91.9) 5,656 (90.6) 0.104
 High-heat prepared foods no more than twice a week 226 (7.0) 134 (4.9) 23 (7.8) 383 (6.1) 0.002
 Reducing hot water disinfection 273 (8.5) 172 (6.3) 19 (6.4) 464 (7.4) 0.006
 Increasing break times 102 (3.2) 81 (3.0) 6 (2.0) 189 (3.0) 0.543

Values are presented as number (%).

aOther schools included kindergartens, day care centers, universities, and others.

Table 4.
The associations between heat-related illness symptoms, duration of heat exposure and heat wave preventive measures
No. Case, n (%) Adjusted ORa (95% CI)
Duration of heat exposure
 Less than 30 minutes 495 395 (79.8) Ref.
 30 minutes to 2 hours 1,766 1,635 (92.6) 2.55 (1.89–3.45)
 2 hours to 4 hours 1,930 1,860 (96.4) 5.04 (3.58–7.12)
 More than 4 hours 2,053 2,016 (98.2) 10.20 (6.74–15.43)
Heat wave preventive measures
 Installing thermometers
  Yes 1,587 120 (7.6) Ref.
  No 4,657 4,439 (95.3) 1.05 (0.81–1.36)
 Operating air conditioners
  Yes 5,656 5,338 (94.4) Ref.
  No 588 568 (96.6) 1.29 (0.80–2.07)
 High-heat prepared foods no more than twice a week
  Yes 383 324 (84.6) Ref.
  No 5,861 5,582 (95.2) 1.59 (1.10–2.29)
 Reducing hot water disinfection
  Yes 464 414 (89.2) Ref.
  No 5,780 5,492 (95.0) 1.31 (0.91–1.89)
 Increasing break times
  Yes 189 157 (83.1) Ref.
  No 6,055 5,749 (94.9) 1.86 (1.16–2.99)

OR: odds ratio; CI: confidence interval.

aAdjusted for age, occupation, hypertension, diabetes, and school type.

  • 1. Sorensen C, Hess J. Treatment and prevention of heat-related illness. N Engl J Med 2022;387(15):1404–13.ArticlePubMed
  • 2. American College of Sports Medicine, Armstrong LE, Casa DJ, Millard-Stafford M, Moran DS, Pyne SW, et al. American College of Sports Medicine position stand: exertional heat illness during training and competition. Med Sci Sports Exerc 2007;39(3):556–72.ArticlePubMed
  • 3. Park S, Hwang JY, Kim H, Lee Y, Kim J, Ahn Y. Results of the 2022 heat-related illness surveillance. Public Health Wkly Rep 2023;16(9):241–52.
  • 4. The Korea Herald. 22 Heat-related workplace deaths occurred in past 6 years: report. https://www.koreaherald.com/article/3426052. Updated 2024. Accessed April 6, 2025
  • 5. Ministry of Employment and Labor. Legislative notice on partial amendment of the Rules on Occupational Safety and Health Standards (Notice No. 2025-33). https://www.moel.go.kr/info/lawinfo/lawmaking/view.do?bbs_seq=20250101235. Updated 2025. Accessed June 20, 2025
  • 6. Shin S, Lee HM, Ki N, Park J, Byeon SH, Kim S. Prioritizing for selection of new high-heat risk industries and thermal risk assessment. J Korean Soc Occup Environ Hyg 2023;33(2):230–46.
  • 7. Ierardi AM, Pavilonis B. Heat stress risk among New York City public school kitchen workers: a quantitative exposure assessment. J Occup Environ Hyg 2020;17(7-8):353–63.ArticlePubMed
  • 8. Haruyama Y, Muto T, Matsuzuki H, Ito A, Tomita S, Muto S, et al. Evaluation of subjective thermal strain in different kitchen working environments using subjective judgment scales. Ind Health 2010;48(2):135–44.ArticlePubMed
  • 9. Matsuzuki H, Ito A, Ayabe M, Haruyama Y, Tomita S, Katamoto S, et al. The effects of work environments on thermal strain on workers in commercial kitchens. Ind Health 2011;49(5):605–13.ArticlePubMed
  • 10. Habib RR, El-Haddad NW, Halwani DA, Elzein K, Hojeij S. Heat stress-related symptoms among bakery workers in Lebanon: a national cross-sectional study. Inquiry 2021;58:46958021990517.ArticlePubMedPMCPDF
  • 11. Anua SM, Ismail MN, Mohd Nordin MA, Naim F, Hamzah NA, Abdul Samad NI. Heat exposure and physiological changes among cooks. J Energy Saf Technol 2021;4(2):29–34.ArticlePDF
  • 12. Rabeiy RE. Evaluation of indoor heat stress on workers of bakeries at Assiut City, Egypt. Int J Environ Sci Technol 2019;16(6):2637–42.ArticlePDF
  • 13. Seoul School Health Promotion Center. Industrial Safety and Health Manual for School Kitchens. Seoul, Korea: Seoul School Health Promotion Center; 2021.
  • 14. Lee S, Kim K, Kim EA, Kim J, Kim D. Job stress and musculoskeletal disorder in Seoul City's school foodservice employees. Korean J Occup Health Nurs 2014;23(4):245–53.Article
  • 15. Jung Y, Park H, Lee YJ, Baek EM. Factors affecting insomnia by degree of subjective noise perception in school meal facility workers. Korean J Occup Health Nurs 2024;33(2):47–54.
  • 16. Korea Disease Control and Prevention Agency. Heat-related illnesses. https://www.kdca.go.kr/contents.es?mid=a20205050100. Updated 2024. Accessed April 25, 2025
  • 17. Ministry of Employment and Labor. Guidelines on Prevention of Heat-Related Illnesses in Summer from the Heatwave. Sejong, Korea: Ministry of Employment and Labor; 2023.
  • 18. Kim CH, Jeon JI, Cho HY, Jang A. Working Conditions and Physical Workload Assessment of School Kitchen Workers. Seoul and Incheon, Korea: Solidarity for Healthy Labor World; Labor Science Research Institute, Incheon National University; 2022.
  • 19. Korea Occupational Safety and Health Agency. Guidelines for Exercise Testing for Evaluation of Work-fitness. Ulsan, Korea: Korea Occupational Safety and Health Agency; 2021.
  • 20. Xiang J, Bi P, Pisaniello D, Hansen A. Health impacts of workplace heat exposure: an epidemiological review. Ind Health 2014;52(2):91–101.ArticlePubMedPMC
  • 21. Melaku C, Abere G, Zele YT, Mamaye Y, Abebaw T, Bezie AE, et al. Occupational heat exposure-related symptoms prevalence and associated factors among hospitality industry kitchen workers in Ethiopia: wet bulb globe temperature. Saf Health Work 2024;15(4):472–80.ArticlePubMedPMC
  • 22. Kang H, Kim J. Co-occurrence network and pattern of school lunch using big data and text-mining using data from the 2021-2023 school meal menu information on the NEIS open educational information portal: an exploratory study. Korean J Community Nutr 2024;29(6):514–27.ArticlePDF
  • 23. Na W, Jang JY, Lee KE, Kim H, Jun B, Kwon JW, et al. The effects of temperature on heat-related illness according to the characteristics of patients during the summer of 2012 in the Republic of Korea. J Prev Med Public Health 2013;46(1):19–27.ArticlePubMedPMC
  • 24. Meshi EB, Kishinhi SS, Mamuya SH, Rusibamayila MG. Thermal exposure and heat illness symptoms among workers in Mara Gold Mine, Tanzania. Ann Glob Health 2018;84(3):360–8.ArticlePubMedPMC
  • 25. Faurie C, Varghese BM, Liu J, Bi P. Association between high temperature and heatwaves with heat-related illnesses: a systematic review and meta-analysis. Sci Total Environ 2022;852:158332.ArticlePubMed
  • 26. Hollander K, Klower M, Richardson A, Navarro L, Racinais S, Scheer V, et al. Apparent temperature and heat-related illnesses during international athletic championships: a prospective cohort study. Scand J Med Sci Sports 2021;31(11):2092–102.ArticlePubMedPDF
  • 27. Taggart SM, Girard O, Landers GJ, Wallman KE. Heat exposure as a cause of injury and illness in mine industry workers. Ann Work Expo Health 2024;68(3):325–31.ArticlePubMedPMCPDF
  • 28. Yoon JH, Lee WT, Yoon MJ, Lee W. Risk of heat-related mortality, disease, accident, and injury among Korean workers: a national representative study from 2002 to 2015. Geohealth 2021;5(12):e2021GH000516.ArticlePubMedPMCPDF
  • 29. Lee JY, Lee S. The experience and psychological characteristics of thermal diseases from the heatwave of construction workers. J Soc Disaster Inf 2020;16(4):747–57.
  • 30. Park J, Kim Y, Oh I. Factors affecting heat-related diseases in outdoor workers exposed to extreme heat. Ann Occup Environ Med 2017;29:30.ArticlePubMedPMCPDF

Figure & Data

REFERENCES

    Citations

    Citations to this article as recorded by  

      • Cite
        CITE
        export Copy Download
        Close
        Download Citation
        Download a citation file in RIS format that can be imported by all major citation management software, including EndNote, ProCite, RefWorks, and Reference Manager.

        Format:
        • RIS — For EndNote, ProCite, RefWorks, and most other reference management software
        • BibTeX — For JabRef, BibDesk, and other BibTeX-specific software
        Include:
        • Citation for the content below
        Factors affecting heat-related illness symptoms among school food service workers: a cross-sectional study in Korea
        Ann Occup Environ Med. 2025;37:e30  Published online September 2, 2025
        Close
      • XML DownloadXML Download
      Related articles
      Factors affecting heat-related illness symptoms among school food service workers: a cross-sectional study in Korea
      Factors affecting heat-related illness symptoms among school food service workers: a cross-sectional study in Korea
      Elementary school (n = 3,229) Middle/High school (n = 2,719) Other schoolsa (n = 296) Total (n = 6,244) p-value
      Age (years) 0.776
       <50 681 (21.1) 580 (21.3) 70 (23.6) 1,331 (21.3)
       50–59 2,334 (72.3) 1,970 (72.5) 210 (70.9) 4,514 (72.3)
       >59 214 (6.6) 169 (6.2) 16 (5.4) 399 (6.4)
      Duration of employment (years) <0.001
       1–4 772 (23.9) 750 (27.6) 74 (25.0) 1,596 (25.6)
       5–9 540 (16.7) 479 (17.6) 56 (18.9) 1,075 (17.2)
       10–19 1,492 (46.2) 1,244 (45.8) 134 (45.3) 2,870 (46.0)
       >19 425 (13.2) 246 (9.0) 32 (10.8) 703 (11.3)
      Hypertension 0.02
       No 2,673 (82.8) 2,175 (80.0) 244 (82.4) 5,092 (81.6)
       Yes 556 (17.2) 544 (20.0) 52 (17.6) 1,152 (18.4)
      Diabetes 0.818
       No 3,030 (93.8) 2,562 (94.2) 278 (93.9) 5,870 (94.0)
       Yes 199 (6.2) 157 (5.8) 18 (6.1) 374 (6.0)
      Occupation <0.001
       Food service assistant 19 (0.6) 8 (0.3) 4 (1.4) 31 (0.5)
       Nutritionist 33 (1.0) 50 (1.8) 18 (6.1) 101 (1.6)
       Cook 3,177 (98.4) 2,661 (97.9) 274 (92.6) 6,112 (97.9)
      Duration of heat exposure 0.005
       Less than 30 minutes 251 (7.8) 207 (7.6) 37 (12.5) 495 (7.9)
       30 minutes to 2 hours 933 (28.9) 738 (27.1) 95 (32.1) 1,766 (28.3)
       2 hours to 4 hours 1,006 (31.2) 837 (30.8) 87 (29.4) 1,930 (30.9)
       More than 4 hours 1,039 (32.2) 937 (34.5) 77 (26.0) 2,053 (32.9)
      Heat-related illness symptoms Elementary school (n = 3,229) Middle/High school (n = 2,719) Other schoolsa (n = 296) Total (n = 6,244) p-value
      No 171 (5.3) 141 (5.2) 26 (8.8) 338 (5.4) 0.031
      Yes 3,058 (94.7) 2,578 (94.8) 270 (91.2) 5,906 (94.6)
       Heat rash 1,865 (57.8) 1,661 (61.1) 167 (56.4) 3,693 (59.1) 0.021
       Heat cramps 1,969 (61.0) 1,689 (62.1) 156 (52.7) 3,814 (61.1) 0.007
       Heat edema 2,054 (63.6) 1,782 (65.5) 165 (55.7) 4,001 (64.1) 0.003
       Heat exhaustion 2,187 (67.7) 1,873 (68.9) 180 (60.8) 4,240 (67.9) 0.018
       Heat syncope 224 (6.9) 193 (7.1) 10 (3.4) 427 (6.8) 0.052
      Heat wave preventive measures Elementary school (n = 3,229) Middle/High school (n = 2,719) Other schoolsa (n = 296) Total (n = 6,244) p-value
      No 235 (7.3) 229 (8.4) 19 (6.4) 483 (7.7) 0.177
      Yes 2,994 (92.7) 2,490 (91.6) 277 (93.6) 5,761 (92.3)
       Installing thermometers 823 (25.5) 662 (24.3) 102 (34.5) 1,587 (25.4) 0.001
       Operating air conditioners 2,945 (91.2) 2,439 (89.7) 272 (91.9) 5,656 (90.6) 0.104
       High-heat prepared foods no more than twice a week 226 (7.0) 134 (4.9) 23 (7.8) 383 (6.1) 0.002
       Reducing hot water disinfection 273 (8.5) 172 (6.3) 19 (6.4) 464 (7.4) 0.006
       Increasing break times 102 (3.2) 81 (3.0) 6 (2.0) 189 (3.0) 0.543
      No. Case, n (%) Adjusted ORa (95% CI)
      Duration of heat exposure
       Less than 30 minutes 495 395 (79.8) Ref.
       30 minutes to 2 hours 1,766 1,635 (92.6) 2.55 (1.89–3.45)
       2 hours to 4 hours 1,930 1,860 (96.4) 5.04 (3.58–7.12)
       More than 4 hours 2,053 2,016 (98.2) 10.20 (6.74–15.43)
      Heat wave preventive measures
       Installing thermometers
        Yes 1,587 120 (7.6) Ref.
        No 4,657 4,439 (95.3) 1.05 (0.81–1.36)
       Operating air conditioners
        Yes 5,656 5,338 (94.4) Ref.
        No 588 568 (96.6) 1.29 (0.80–2.07)
       High-heat prepared foods no more than twice a week
        Yes 383 324 (84.6) Ref.
        No 5,861 5,582 (95.2) 1.59 (1.10–2.29)
       Reducing hot water disinfection
        Yes 464 414 (89.2) Ref.
        No 5,780 5,492 (95.0) 1.31 (0.91–1.89)
       Increasing break times
        Yes 189 157 (83.1) Ref.
        No 6,055 5,749 (94.9) 1.86 (1.16–2.99)
      Table 1. Characteristics of study population by school type

      Values are presented as number (%).

      Other schools included kindergartens, day care centers, universities, and others.

      Table 2. Prevalence of heat-related illness symptoms by school type

      Values are presented as number (%).

      Other schools included kindergartens, day care centers, universities, and others.

      Table 3. Heat wave preventive measures by school type

      Values are presented as number (%).

      Other schools included kindergartens, day care centers, universities, and others.

      Table 4. The associations between heat-related illness symptoms, duration of heat exposure and heat wave preventive measures

      OR: odds ratio; CI: confidence interval.

      Adjusted for age, occupation, hypertension, diabetes, and school type.


      Ann Occup Environ Med : Annals of Occupational and Environmental Medicine
      Close layer
      TOP