, Eun-Chul Jang
, Soon-Chan Kwon
, In-ho Lee
, Jisuk Yun
, Ui Chan Jung
, Young-Sun Min,*
Department of Occupational and Environmental Medicine, Soonchunhyang University Cheonan Hospital, Cheonan, Korea
Background
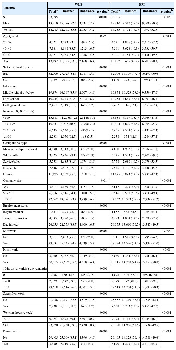
This study investigated the relationship between work-life balance (WLB), effort-reward imbalance (ERI), and presenteeism among Korean wageworkers through two models used simultaneously.
Methods
Data from the 6th Korean Working Conditions Survey for 28,669 Korean workers, including 13,513 men and 15,156 women, were analyzed. All analyses were performed with pre-designed weight. Multiple logistic regression analysis was used to analyze the association between WLB, ERI, and presenteeism among Korean workers. The participants were classified into the following four groups: group 1, status of both WLB and ERI is “balanced”; group 2, WLB and ERI status are “imbalanced” and “balanced”, respectively; group 3, WLB and ERI status are “balanced” and “imbalanced”, respectively; group 4: status of both WLB and ERI is “imbalanced.”
Results
We found that WLB and ERI were associated with presenteeism in both men and women. Depending on their WLB and ERI status, women generally had a higher tendency of presenteeism than men. Multiple logistic regression shows that, in most models and groups, there is an increased odds ratio (OR) for presenteeism in both men and women compared to the reference value. Moreover, the OR in both men and women gradually increased in groups 2, 3, and 4 compared with group 1. When considering both WLB and ERI status simultaneously, ERI had a greater impact on presenteeism than WLB. Furthermore, it was found that a synergistic effect of presenteeism manifests when both WLB and ERI are in a state of imbalance simultaneously.
Conclusions
Using the two models simultaneously, we found an association between WLB, ERI, and presenteeism according to sex with a synergistic effect among Korean workers. Our research suggests that active interventions targeting WLB and ERI are necessary to reduce presenteeism, which ultimately leads to decreased productivity.
